Page 5 - FRANÇAIS; Mise au rebut des appareils ménagers
FRANÇAIS 26 - Ce four est un appareil ménager destiné exclusivement à la cuisson des aliments. Toute autre utilisation (pour le chauffage d'une pièce, par exemple) est interdite. Le fabricant décline toute responsabilité en cas d'utilisation impropre de l'appareil ou de réglage incorrect des command...
Page 6 - Accessoires
FRANÇAIS 27 Description du produit Accessoires Grille 2x Lèchefrite 1x Tournebroche 1x 1 Bandeau de commande 2 Ventilateur 1) (invisible) 3 Protection du gril 2) 4 Résistance supérieure/gril 5 Éclairage arrière du four 6 Ventilateur de four 7 Résistance inférieure (non visible) 8 Porte froide 1) Il ...
Page 7 - Introduction de grilles et autres
FRANÇAIS 28 Introduction de grilles et autres accessoires à l'intérieur du four La grille et les autres accessoires sont équipés d'un système de blocage qui évite leur extraction involontaire. 1. Insérez la grille horizontalement, avec la partie rehaussée « A » orientée vers le haut (fig. 1). A Fig....
Page 8 - Mode d'emploi du four
FRANÇAIS 29 1 Voyant jaune de la clé de verrouillage de porte (seulement pendant la pyrolyse) 2 Bouton de sélection des fonctions 3 Horloge 4 Bouton du thermostat 5 Voyant rouge du thermostat Bandeau de commande Utilisation quotidienne °C 100 50 150 250 200 2 3 4 5 1 Mode d'emploi du four • Tournez ...
Page 9 - Cuisson manuelle avec heure de début de cuisson
FRANÇAIS 30 aiguilles d'une montre et positionnez-le sur la température souhaitée. Le voyant rouge du thermostat s'allume. 5. À la fin de la cuisson, tournez le bouton sur OFF ( 0 ) et tournez le bouton B dans le sens inverse des aiguilles d'une montre (sans appuyer), jusqu'à ce que le symbole appar...
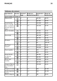
Page 12 - Type d’aliment; Tableaux de cuisson
FRANÇAIS 33 Type d’aliment Fonction Préchauf- fage Gradin (en partant du bas) Température (°C) Temps de cuisson (min) VIENNOISERIES, PÂTISSERIE, ETC. Gâteaux levés X 2 160-180 30-90 X 1-3 160-180 30-90 Tourtes fourrées (tarte au fromage blanc, crumble aux pommes, tarte aux fruits) X 2 160-200 30-85 ...
Page 15 - ENTRETIEN
FRANÇAIS 36 Cette fonction brûle les éclaboussures produites à l'intérieur du four pendant une cuisson à environ 500 °C. Les restes de saleté sont transformés en dépôts qu'on peut facilement enlever avec une éponge humide une fois que le four est froid. Il n'est pas nécessaire de procéder à un netto...
Page 16 - Pour remonter la porte :
FRANÇAIS 37 3. Fermez complètement la porte (A), soulevez-la (B) et faites-la pivoter (C) jusqu'à ce qu'elle se décroche (D) (fig. 2, 3 et 4). A Fig. 2 B B C Fig. 3 D Fig. 4 Pour remonter la porte : 1. Introduisez les charnières dans leur logement respectif. 2. Ouvrez complètement la porte du four. ...
Page 17 - Problème
FRANÇAIS 38 Diagnostic rapide Problème Cause possible Solution Le four ne marche pas : Pas d'alimentation électrique. Vérifiez qu'il n'y a pas de coupure de courant. Le four n'est pas branché à la prise secteur. Branchez le four à l'alimentation électrique. Le sélecteur est sur « 0 ». Tournez le sél...
Page 18 - Avant de faire appel au service après-
FRANÇAIS 39 Avant de faire appel au service après- vente : 1. Vérifiez en premier lieu si vous pouvez remédier au problème par vous-même à l'aide des suggestions de la section « Diagnostic rapide ». 2. Arrêtez le four puis remettez-le en marche pour vérifier si le problème a été éliminé. Si, après c...
Page 20 - Préparation du meuble pour; Montage
FRANÇAIS 41 Après avoir déballé le four, contrôlez que l'appareil n'a pas été endommagé pendant le transport et que la porte ferme parfaitement. En cas de problème, contactez votre revendeur ou le service après-vente le plus proche. Pour éviter un endommagement du four, il est recommandé de le retir...
Page 21 - Dispositif de verrouillage du four; Pour ouvrir la porte avec le dispositif de
FRANÇAIS 42 Dispositif de verrouillage du four Pour ouvrir la porte avec le dispositif de verrouillage du four, reportez-vous à la figure 1. Fig. 1 Il est possible de retirer le dispositif de verrouillage du four en suivant les images (fig. 2). Fig. 2
Page 22 - Élimination des emballages; Considérations environnementales
FRANÇAIS 43 Élimination des emballages - Les matériaux d'emballage sont entièrement recyclables, comme l'indique le symbole de recyclage ( ). Par conséquent, ne les jetez jamais dans la nature et respectez les réglementations locales en vigueur en matière d'élimination des déchets. Mise au rebut de ...
Page 25 - Que couvre cette garantie ?
FRANÇAIS 46 Que couvre cette garantie ? La présente garantie IKEA couvre les défauts de construction et de fabrication susceptibles de nuire à une utilisation normale, à compter de la date d’achat chez IKEA par le client. Elle ne s’applique que dans le cadre d’un usage domestique. Les exclusions son...
Page 26 - Rappel des dispositions légales :
FRANÇAIS 47 • Les pièces d’usure normale dites pièces consommables, comme par exemple les piles, les ampoules, les filtres, les joints, tuyaux de vidange, etc. qui nécessitent un remplacement régulier pour le fonctionnement normal de l’appareil. • Les dommages aux éléments non fonctionnels et décora...
Page 28 - DE CAISSE, FACTURE OU BON DE
FRANÇAIS 49 DE CAISSE, FACTURE OU BON DE LIVRAISON AVEC LE LIVRET DE GARANTIE ! Ils vous seront nécessaires comme preuve de l’achat pour vous permettre de bénéficier de la présente garantie. Vous y retrouverez notamment la désignation et la référence IKEA (code à 8 chiffres) de chaque appareil achet...